検索はキーワードに基づいています。
例:「手順」
自然言語で検索しないでください
例:「新しいプロシージャを作成するにはどうすればよいですか?」
Distanceノード
アクセス: Nodes >Math >Distance
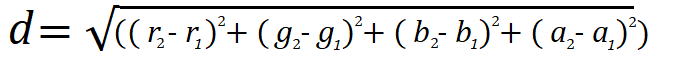
のDistance nodeは、計算を使用して2つの入力ベクトル間の距離を出力します。
のDistanceノードは、2Dまたは3D位置間の距離を計算するときに特に役立ちます。出力は、ベクトル出力の各コンポーネント間でコピーされた単一の値です。ただし、元の入力値を保持するアルファコンポーネントは除きます。
Distanceノードの例
| 入力 | 計算 | 出力 |
|
InputA = 0.0、0.0、0.0、0.0 InputB = 1.0、0.0、0.0、0.0 |
d =√((1.0-0.0)2 +(0.0-0.0) 2 +(0.0-0.0) 2 +(0.0-0.0) 2) d = 1.0 |
1.0、1.0、1.0、1.0 |
|
InputA = 0.0、0.0、0.0、0.0 InputB = 0.0、3.0、4.0、1.0 |
d =√((0.0-0.0)2 +(3.0-0.0) 2 +(4.0-0.0) 2 +(0.0-0.0) 2) d = 5.0 |
5.0、5.0、5.0、1.0 |
注意: アルファコンポーネントは、計算に含まれていても元の値を保持します。
ヒント: 距離方程式の解の詳細については、 3D距離計算機オン電卓スープ。
Distanceノード入力
|
InputA |
距離が計算される最初のベクトル。 |
|
InputB |
距離が計算される2番目のベクトル。 |
Distanceノードのプロパティ
|
R チェックボックス |
オンにすると、距離計算に赤いコンポーネントが含まれます。 |
|
G チェックボックス |
オンにすると、距離の計算に緑のコンポーネントが含まれます。 |
|
B チェックボックス |
オンにすると、距離計算に青のコンポーネントが含まれます。 |
|
A チェックボックス |
オンにすると、距離の計算にアルファコンポーネントが含まれます。ただし、アルファコンポーネントは元の値として出力に渡されます。たとえば、入力アルファ値1.0は、アルファ値1.0として出力されます。 |
関連ノード
• ベクトルノード
• 長さノード
• カラーノード
• ノードを正規化
役に立たなかったのでごめんなさい
なぜこれが役に立たなかったのですか? (当てはまるもの全てをご確認ください)
ご意見をいただきありがとうございます。
探しているものが見つからない場合、またはワークフローに関する質問がある場合は、お試しくださいファウンドリサポート。
学習コンテンツを改善する方法についてご意見がございましたら、下のボタンを使用してドキュメントチームにメールでお問い合わせください。
フィードバックをお寄せいただきありがとうございます。