Distance节点
访问: Nodes >Math >Distance
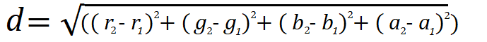
的Distance节点使用以下公式输出两个输入向量之间的距离:
的Distance计算2D或3D位置之间的距离时,节点可能特别有用。输出是跨矢量输出的每个分量复制的单个值,alpha分量除外,它保留了其原始输入值。
Distance节点示例
| 输入值 | 计算方式 | 输出量 |
|
输入A = 0.0、0.0、0.0、0.0 输入B = 1.0、0.0、0.0、0.0 |
d =√((1.0-0.0)2 +(0.0-0.0) 2 +(0.0-0.0) 2 +(0.0-0.0) 2) d = 1.0 |
1.0、1.0、1.0、1.0 |
|
输入A = 0.0、0.0、0.0、0.0 输入B = 0.0、3.0、4.0、1.0 |
d =√((0.0-0.0)2 +(3.0-0.0) 2 +(4.0-0.0) 2 +(0.0-0.0) 2) d = 5.0 |
5.0、5.0、5.0、1.0 |
注意: 即使包含在计算中,Alpha组件也会保留其原始值。
小费: 要了解有关距离方程解的更多信息,请参见3D距离计算器上计算器汤。
Distance节点输入
|
InputA |
从中计算距离的第一个向量。 |
|
InputB |
计算距离的第二个向量。 |
Distance节点属性
|
R 复选框 |
选中后,在距离计算中包括红色部分。 |
|
G 复选框 |
选中后,在距离计算中包括绿色分量。 |
|
B 复选框 |
选中后,在距离计算中包括蓝色分量。 |
|
A 复选框 |
选中后,在距离计算中包括alpha分量。但是,alpha分量将作为其原始值传递到输出。例如,输入的Alpha值1.0作为Alpha值1.0输出。 |
相关节点
• 向量节点
• 长度节点
• 颜色节点
• 规范化节点